业务咨询
【评价原理】
糖尿病是以血糖升高为主要特征的慢性代谢疾病,主要与胰岛素分泌不足或胰岛素作用受损有关。斑马鱼在糖代谢上与人类具有相似性。斑马鱼胰腺的形态发生和基本细胞结构以及细胞排列方式与哺乳动物胰腺相似,其胰腺发育的信号通路和机制与哺乳动物高度保守。除了胰腺,参与葡萄糖稳态的其他器官系统的发育和功能,包括大脑、肝脏、脂肪细胞组织和骨骼肌,也是保守的。抗糖尿病的二甲双胍、阿卡波糖、西格列汀、格列吡嗪、吡格列酮等常见药物对斑马鱼有治疗作用。前期研究表明在斑马鱼筛选出来的降糖药物在哺乳动物上也具有类似的功效。斑马鱼在同时摄取蛋黄粉和葡萄糖的情况下,其血液中的葡萄糖含量会迅速上升。持续的高血糖水平模拟了糖尿病并发症的发生。持续高血糖状态会直接损伤视网膜血管内皮细胞,导致血管通透性增加、微血管渗漏、微血管瘤形成,新生血管异常增生,并引发视网膜缺血缺氧。糖化血红蛋白反映患者近2-3个月的平均血糖水平,持续性高血糖会导致血红蛋白与葡萄糖发生非酶促糖化反应,形成晚期糖基化终末产物(AGEs)。AGEs通过激活炎症反应、氧化应激和血管内皮损伤,破坏视网膜微血管结构,线粒体功能障碍和氧化应激反应是导致DR发生的重要机制之一。细胞内线粒体功能障碍的后果包括因为线粒体活性氧(ROS)的产生率升高而导致的电子传递链蛋白的损伤,以及线粒体DNA(mtDNA)的损害和代谢能力的降低。此外,持续的高血糖症引发视网膜毛细血管壁炎症、慢性炎症以及基质金属蛋白酶诱导的毛细血管基底膜重塑。这些最终导致视网膜血管破坏和巨噬细胞渗漏增加。此外,高血糖也会引发的进行性视觉障碍,视网膜神经上皮(RNE)是神经发生的场所,RNE内的神经上皮细胞在早期视网膜发育过程中对神经发生、细胞运动和轴突导向具有重要作用。神经上皮细胞在神经发生过程中可分化为RGCs和Müeller神经胶质细胞,这两者在维持健康视力中起到关键作用。
【实验方案】
我们将受测试斑马鱼分成三组,分别是正常对照组、模型对照组和供试品组。其中正常对照组未经任何处理,模型对照组与服用供试品组都摄入等量的蛋黄粉和葡萄糖。服用供试品组摄入等量的蛋黄粉和葡萄糖的同时摄入样品。
服用一段时间供试品后,我们可检测(1)葡萄糖水平;(2)糖化血红蛋白水平;(3)玻璃体-视网膜血管直径;(4)斑马鱼整体炎症水平(巨噬细胞荧光强度);(5)整体ROS水平;(6)星形胶质细胞(Müeller细胞)荧光强度;(7)炎症相关基因表达量(TNF-α、IL-6和IL-1β)(8)视网膜组织病理学;(9)眼睛电镜。
【结果展示】

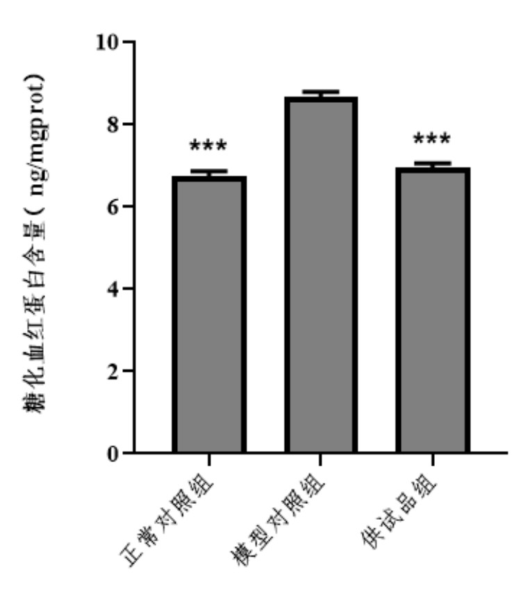
图1. 斑马鱼整体糖化血红蛋白水平柱状结果图
从实验结果可以看到,服用供试品组斑马鱼整体糖化血红蛋白水平较模型对照组明显降低。

图2. 斑马鱼玻璃体-视网膜血管直径典型图
从实验结果可以看到,服用供试品组斑马鱼玻璃体-视网膜血管直径较模型对照组明显减小。
【评价结论】
1.经过每组30尾斑马鱼的对比实验,服用供试品组的斑马鱼整体糖化血红蛋白水平、玻璃体-视网膜血管直径较模型对照组明显降低。
2.本实验证实磷酸西格列汀具有改善糖尿病视网膜病变功效。
严正声明:以上内容所涉及的核心知识产权归杭州环特生物科技股份有限公司所有。任意第三方机构或个人在未经授权的前提下抄袭、剽窃、恶意传播均属侵害我司正当权益的行为,我司不排除诉诸一切法律手段维护自身合法权益。