业务咨询
【评价原理】
痛风是由于嘌呤代谢异常导致的遗传性和(或)获得性尿酸生成过多和(或)排泄减少引起的一种晶体关节炎疾病。尿酸是嘌呤核苷酸代谢的最终产物,其与钠离子结合形成尿酸单钠晶体(MSU),当尿酸过量产生或排泄不足时导致MSU形成和沉积,这些晶体在关节间隙和滑膜衬里的积聚可引发炎症反应,即痛风。uox基因编码尿酸氧化酶,能够将尿酸最终转化为可溶性尿囊素从而被排泄。但在进化过程中,人类uox基因假基因化而丧失功能,当体内尿酸过量产生或排泄不足,极易引发痛风。采用基因敲除手段敲除斑马鱼uox基因构建uox-KO品系斑马鱼,使其不能编码尿酸氧化酶,从而无法将尿酸从体内排出。与野生型AB品系斑马鱼相比,uox-KO斑马鱼体内尿酸水平显著升高,经过尿酸荧光检测试剂盒检测,患有高尿酸的斑马鱼的尿酸荧光信号强度明显比正常斑马鱼的尿酸荧光信号强度高,提示可在正常uox-KO斑马鱼上进行样品辅助降尿酸功效评价。
【实验方案】
我们将受测试斑马鱼分成三组,分别是正常对照组、模型对照组和供试品组。其中正常对照组未经任何处理,模型对照组为uox-KO斑马鱼,服用供试品组为uox-KO斑马鱼摄入待检测的样品。
服用一段时间供试品后,我们检测其尿酸荧光值。
【结果展示】

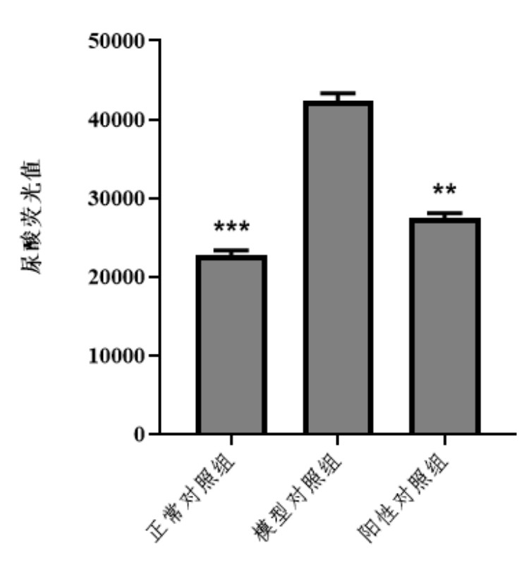
图1. 斑马鱼尿酸荧光值柱状结果图
经过每组30尾斑马鱼的对比实验,服用供试品组的uox-KO斑马鱼尿酸荧光值趋向未经任何处理的正常对照组。
【评价结论】
1.经过每组30尾斑马鱼的对比实验,服用供试品组的uox-KO斑马鱼尿酸荧光值趋向未经任何处理的正常对照组。
2.本实验证实别嘌呤醇具有辅助降尿酸功效。
严正声明:以上内容所涉及的核心知识产权归杭州环特生物科技股份有限公司所有。任意第三方机构或个人在未经授权的前提下抄袭、剽窃、恶意传播均属侵害我司正当权益的行为,我司不排除诉诸一切法律手段维护自身合法权益。