业务咨询
【评价原理】
蛋白质糖基化(glycosylation)是最常见但也是最复杂的翻译后修饰之一,未成熟蛋白质与糖分子通过特定酶促反应发生糖基化反应,形成具有功能的成熟蛋白质,这种酶促反应糖基化对蛋白质的功能和稳定性等具有重要作用。与蛋白质糖基化相似但又不同的糖化反应(Glycation),是一种自发的非酶促的不可逆反应,会随着年龄的增加而增加,与衰老显著相关。糖化会造成糖和蛋白质交联,能使正常的蛋白结构转变成老年蛋白的结构,造成蛋白结构异常和功能障碍,从而引发机体衰老。紫外线照射可激发皮肤的氧化应激反应,进而引起皮肤的非酶糖化反应,产生糖基化终产物( Advanced glycation end product,AGEs)。此外,紫外线又利用AGEs的特性促进氧化应激反应,造成皮肤氧化损伤,加速皮肤光老化,如皮肤黑色素细胞增加,色素分布不均匀,角质层加厚等。研究表明,D-半乳糖诱导的衰老(非糖尿病)大鼠血浆中的糖化血红蛋白和AGEs的含量均显著升高,说明糖化血红蛋白与衰老直接相关。
我们评价斑马鱼抗糖化功效有1个指标:1.整体糖化血红蛋白含量。
【实验方案】
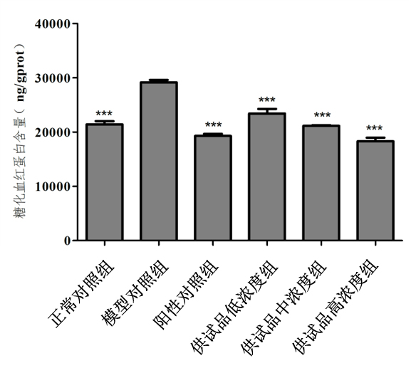
我们将实验分为六个组,分别是正常对照组、模型对照组、阳性对照组、供试品低浓度组、供试品中浓度组和供试品高浓度组。模型对照组进行紫外线照射,阳性对照组进行紫外线照射并给与阳性对照药,不同浓度供试品组进行紫外线照射并给与待检测供试品,处理一定时间后,用酶标仪检测糖化血红蛋白含量变化,从而反映待检测供试品是否具有抗糖化功效。
【结果展示】

图1. 斑马鱼糖化血红蛋白含量
可以看到,模型对照组糖化血红蛋白含量明显上升,供试品组相对模型组显著降低糖化血红蛋白含量。
【评价结论】
1.供试品组糖化血红蛋白含量与正常对照组相似,较模型组的糖化血红蛋白含量下降,证实了供试品具有抗糖化作用。
严正声明:以上内容所涉及的核心知识产权归杭州环特生物科技股份有限公司所有。任意第三方机构或个人在未经授权的前提下抄袭、剽窃、恶意传播均属侵害我司正当权益的行为,我司不排除诉诸一切法律手段维护自身合法权益。